JEE Advanced 2021

Paper 1

SECTION 1
  • This section contains FOUR (04) questions.
  • Each question has FOUR options (A), (B), (C) and (D). ONLY ONE of these four options is the correct answer.
  • Full Marks : +3 If ONLY the correct option is chosen.
  • Zero Marks : 0 If none of the options is chosen (i.e. the question is unanswered).
  • Negative Marks : −1 In all other cases.
Q.1
The smallest division on the main scale of a Vernier calipers is 0.1 cm. Ten divisions of the Vernier scale correspond to nine divisions of the main scale. The figure below on the left shows the reading of this calipers with no gap between its two jaws. The figure on the right shows the reading with a solid sphere held between the jaws. The correct diameter of the sphere is: Vernier Calipers
(A)
3.07 cm
(B)
3.11 cm
(C)
3.15 cm
(D)
3.17 cm
(C)
Q.2
An ideal gas undergoes a four step cycle as shown in the $P-V$ diagram below. During this cycle, heat is absorbed by the gas in: P-V Diagram
(A)
steps 1 and 2
(B)
steps 1 and 3
(C)
steps 1 and 4
(D)
steps 2 and 4
(C)
Q.3
An extended object is placed at point O, 10 cm in front of a convex lens $L_1$ and a concave lens $L_2$ is placed 10 cm behind it, as shown in the figure. The radii of curvature of all the curved surfaces in both the lenses are 20 cm. The refractive index of both the lenses is 1.5. The total magnification of this lens system is: Lens System
(A)
0.4
(B)
0.8
(C)
1.3
(D)
1.6
(B)
Q.4
A heavy nucleus $Q$ of half-life 20 minutes undergoes alpha-decay with probability of 60% and beta-decay with probability of 40%. Initially, the number of $Q$ nuclei is 1000. The number of alpha-decays of $Q$ in the first one hour is:
(A)
50
(B)
75
(C)
350
(D)
525
(D)
SECTION 2
  • This section contains THREE (03) question stems.
  • There are TWO (02) questions corresponding to each question stem.
  • The answer to each question is a NUMERICAL VALUE.
  • If the numerical value has more than two decimal places, truncate/round-off the value to TWO decimal places.
  • Full Marks : +2 If ONLY the correct numerical value is entered.
  • Zero Marks : 0 In all other cases.

Question Stem for Question Nos. 5 and 6

A projectile is thrown from a point O on the ground at an angle 45° from the vertical and with a speed $5\sqrt{2}$ m/s. The projectile at the highest point of its trajectory splits into two equal parts. One part falls vertically down to the ground, 0.5 s after the splitting. The other part, $t$ seconds after the splitting, falls to the ground at a distance $x$ meters from the point O. The acceleration due to gravity $g = 10 \text{ m/s}^2$.

Q.5
The value of $t$ is ___.
0.50
Q.6
The value of $x$ is ___.
7.50

Question Stem for Question Nos. 7 and 8

In the circuit shown below, the switch S is connected to position P for a long time so that the charge on the capacitor becomes $q_1$ µC. Then S is switched to position Q. After a long time, the charge on the capacitor is $q_2$ µC. Circuit

Q.7
The magnitude of $q_1$ is ___.
1.33
Q.8
The magnitude of $q_2$ is ___.
0.67

Question Stem for Question Nos. 9 and 10

Two point charges $-Q$ and $+Q/\sqrt{3}$ are placed in the $xy$-plane at the origin $(0, 0)$ and a point $(2, 0)$, respectively, as shown in the figure. This results in an equipotential circle of radius $R$ and potential $V = 0$ in the $xy$-plane with its center at $(b, 0)$. All lengths are measured in meters. Charges

Q.9
The value of $R$ is ___ meter.
1.73
Q.10
The value of $b$ is ___ meter.
3.00
SECTION 3
  • This section contains SIX (06) questions.
  • Each question has FOUR options (A), (B), (C) and (D). ONE OR MORE THAN ONE of these four options is(are) correct answer(s).
  • Full Marks : +4 If only (all) the correct option(s) is(are) chosen.
  • Partial Marks : +3 If all four options are correct but ONLY three are chosen.
  • Partial Marks : +2 If three or more options are correct but ONLY two are chosen, both correct.
  • Partial Marks : +1 If two or more options are correct but ONLY one is chosen and it is correct.
  • Zero Marks : 0 If unanswered.
  • Negative Marks : −2 In all other cases.
Q.11
A horizontal force $F$ is applied at the center of mass of a cylindrical object of mass $m$ and radius $R$, perpendicular to its axis as shown in the figure. The coefficient of friction between the object and the ground is $\mu$. The center of mass of the object has an acceleration $a$. The acceleration due to gravity is $g$. Given that the object rolls without slipping, which of the following statement(s) is(are) correct? Cylinder
(A)
For the same $F$, the value of $a$ does not depend on whether the cylinder is solid or hollow
(B)
For a solid cylinder, the maximum possible value of $a$ is $2\mu g$
(C)
The magnitude of the frictional force on the object due to the ground is always $\mu mg$
(D)
For a thin-walled hollow cylinder, $a = \frac{F}{2m}$
(B), (D)
Q.12
A wide slab consisting of two media of refractive indices $n_1$ and $n_2$ is placed in air as shown in the figure. A ray of light is incident from medium $n_1$ to $n_2$ at an angle $\theta$, where $\sin\theta$ is slightly larger than $1/n_1$. Take refractive index of air as 1. Which of the following statement(s) is(are) correct? Layer
(A)
The light ray enters air if $n_2 = n_1$
(B)
The light ray is finally reflected back into the medium of refractive index $n_1$ if $n_2 < n_1$
(C)
The light ray is finally reflected back into the medium of refractive index $n_1$ if $n_2 > n_1$
(D)
The light ray is reflected back into the medium of refractive index $n_1$ if $n_2 = 1$
(B), (C), (D)
Q.13
A particle of mass $M = 0.2$ kg is initially at rest in the $xy$-plane at a point $(x = -l, y = -h)$, where $l = 10$ m and $h = 1$ m. The particle is accelerated at time $t = 0$ with a constant acceleration $a = 10 \text{ m/s}^2$ along the positive x-direction. Its angular momentum and torque with respect to the origin, in SI units, are represented by $\vec{L}$ and $\vec{\tau}$, respectively. $\hat{i}, \hat{j}$ and $\hat{k}$ are unit vectors along the positive x, y and z-directions, respectively. If $\hat{k} = \hat{i} \times \hat{j}$ then which of the following statement(s) is(are) correct?
(A)
The particle arrives at the point $(x = l, y = -h)$ at time $t = 2$ s
(B)
$\vec{\tau} = 2 \hat{k}$ when the particle passes through the point $(x = l, y = -h)$
(C)
$\vec{L} = 4 \hat{k}$ when the particle passes through the point $(x = l, y = -h)$
(D)
$\vec{\tau} = \hat{k}$ when the particle passes through the point $(x = 0, y = -h)$
(A), (B), (C)
Q.14
Which of the following statement(s) is(are) correct about the spectrum of hydrogen atom?
(A)
The ratio of the longest wavelength to the shortest wavelength in Balmer series is 9/5
(B)
There is an overlap between the wavelength ranges of Balmer and Paschen series
(C)
The wavelengths of Lyman series are given by $\left(1 + \frac{1}{m^2}\right)\lambda_0$, where $\lambda_0$ is the shortest wavelength of Lyman series and $m$ is an integer
(D)
The wavelength ranges of Lyman and Balmer series do not overlap
(A), (D)
Q.15
A long straight wire carries a current, $I = 2$ ampere. A semi-circular conducting rod is placed beside it on two conducting parallel rails of negligible resistance. Both the rails are parallel to the wire. The wire, the rod and the rails lie in the same horizontal plane, as shown in the figure. Two ends of the semi-circular rod are at distances 1 cm and 4 cm from the wire. At time $t = 0$, the rod starts moving on the rails with a speed $v = 3.0$ m/s. A resistor $R = 1.4\ \Omega$ and a capacitor $C_o = 5.0\ \mu\text{F}$ are connected in series between the rails. At time $t = 0$, $C_o$ is uncharged. Which of the following statement(s) is(are) correct? [$\mu_0 = 4\pi \times 10^{-7}$ SI units. Take $\ln 2 = 0.7$] Rod
(A)
Maximum current through $R$ is $1.2 \times 10^{-6}$ ampere
(B)
Maximum current through $R$ is $3.8 \times 10^{-6}$ ampere
(C)
Maximum charge on capacitor $C_o$ is $8.4 \times 10^{-12}$ coulomb
(D)
Maximum charge on capacitor $C_o$ is $2.4 \times 10^{-12}$ coulomb
(A), (C)
Q.16
A cylindrical tube, with its base as shown in the figure, is filled with water. It is moving down with a constant acceleration $a$ along a fixed inclined plane with angle $\theta = 45^{\circ}$. $P_1$ and $P_2$ are pressures at points 1 and 2, respectively, located at the base of the tube. Let $\beta = (P_1 - P_2)/(\rho g d)$, where $\rho$ is density of water, $d$ is the inner diameter of the tube and $g$ is the acceleration due to gravity. Which of the following statement(s) is(are) correct? Tube
(A)
$\beta = 0$ when $a = g/\sqrt{2}$
(B)
$\beta > 0$ when $a = g/\sqrt{2}$
(C)
$\beta = \frac{\sqrt{2}-1}{\sqrt{2}}$ when $a = g/2$
(D)
$\beta = \frac{1}{\sqrt{2}}$ when $a = g/2$
(A), (C)
SECTION 4
  • This section contains THREE (03) questions.
  • The answer to each question is a NON-NEGATIVE INTEGER.
  • Full Marks : +4 If ONLY the correct integer is entered.
  • Zero Marks : 0 In all other cases.
Q.17
An $\alpha$-particle (mass 4 amu) and a singly charged sulfur ion (mass 32 amu) are initially at rest. They are accelerated through a potential $V$ and then allowed to pass into a region of uniform magnetic field which is normal to the velocities of the particles. Within this region, the $\alpha$-particle and the sulfur ion move in circular orbits of radii $r_{\alpha}$ and $r_S$, respectively. The ratio $(r_S/r_{\alpha})$ is ___.
4
Q.18
A thin rod of mass $M$ and length $a$ is free to rotate in horizontal plane about a fixed vertical axis passing through point O. A thin circular disc of mass $M$ and of radius $a/4$ is pivoted on this rod with its center at a distance $a/4$ from the free end so that it can rotate freely about its vertical axis, as shown in the figure. Assume that both the rod and the disc have uniform density and they remain horizontal during the motion. An outside stationary observer finds the rod rotating with an angular velocity $\Omega$ and the disc rotating about its vertical axis with angular velocity $4\Omega$. The total angular momentum of the system about the point O is $\left(\frac{Ma^2\Omega}{48}\right)n$. The value of $n$ is ___. Rod
49
Q.19
A small object is placed at the center of a large evacuated hollow spherical container. Assume that the container is maintained at 0 K. At time $t = 0$, the temperature of the object is 200 K. The temperature of the object becomes 100 K at $t = t_1$ and 50 K at $t = t_2$. Assume the object and the container to be ideal black bodies. The heat capacity of the object does not depend on temperature. The ratio $(t_2/t_1)$ is ___.
9
Mathematics Chemistry Physics
Section 1
  • This section contains FOUR (04) questions.
  • Each question has FOUR options (A), (B), (C) and (D). ONLY ONE of these four options is the correct answer.
  • Full Marks : +3 If ONLY the correct option is chosen.
  • Zero Marks : 0 If none of the options is chosen.
  • Negative Marks : -1 In all other cases.
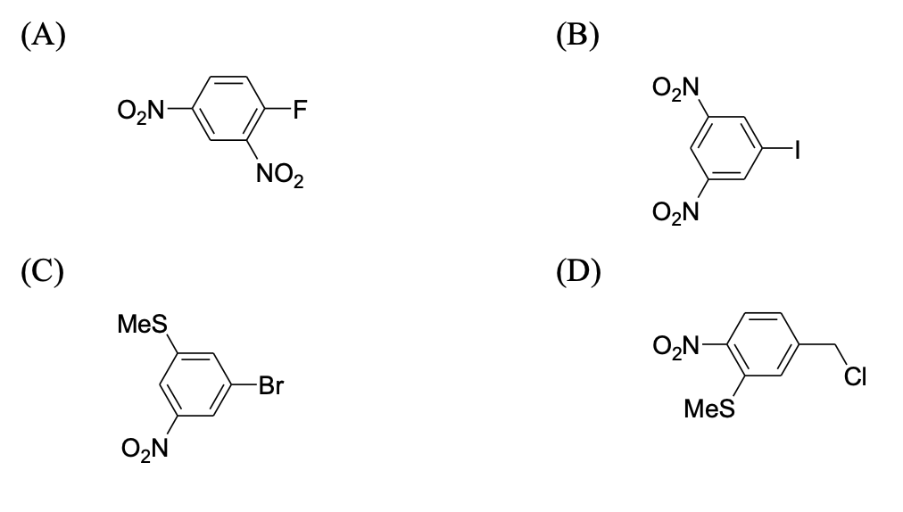
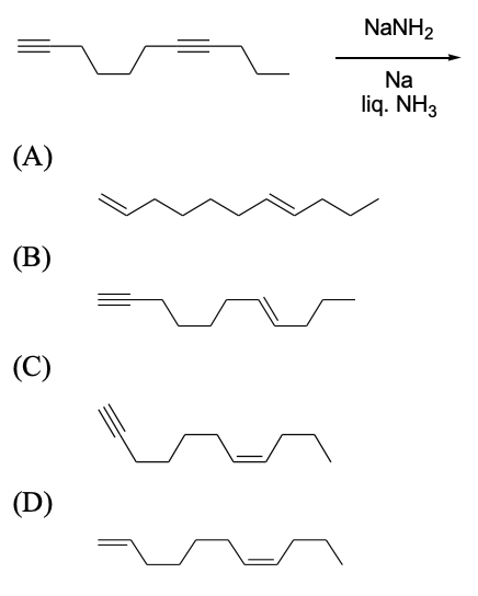
Q.1
The major product formed in the following reaction is: Reaction
Correct Answer: (B)
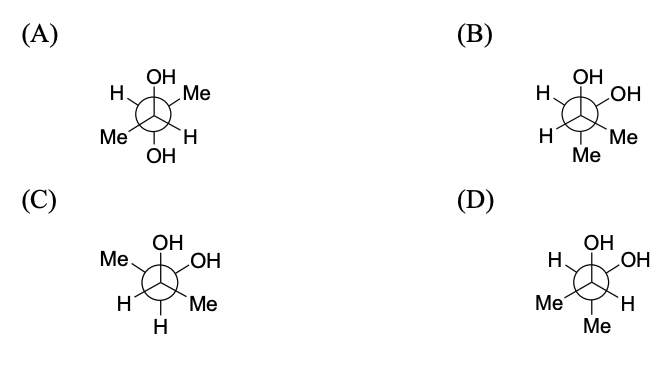
Q.2
Among the following, the conformation that corresponds to the most stable conformation of meso-butane-2,3-diol is:
Conformation
Correct Answer: (B)
Q.3
For the given close packed structure of a salt made of cation X and anion Y shown below (ions of only one face are shown for clarity), the packing fraction is approximately
$$(\text{packing fraction} = \frac{\text{packing efficiency}}{100})$$ Unit Cell
(A)
0.74
(B)
0.63
(C)
0.52
(D)
0.48
Correct Answer: (B)
Q.4
The calculated spin only magnetic moments of $[\text{Cr}(\text{NH}_3)_6]^{3+}$ and $[\text{CuF}_6]^{3-}$ in BM, respectively, are
(Atomic numbers of Cr and Cu are 24 and 29, respectively)
(A)
3.87 and 2.84
(B)
4.90 and 1.73
(C)
3.87 and 1.73
(D)
4.90 and 2.84
Correct Answer: (A)
Section 2
  • This section contains THREE (03) question stems.
  • There are TWO (02) questions corresponding to each question stem.
  • The answer to each question is a NUMERICAL VALUE.
  • Truncate/round-off the value to TWO decimal places.
  • Full Marks : +2 If ONLY the correct numerical value is entered.
  • Zero Marks : 0 In all other cases.

Question Stem for Question Nos. 5 and 6

For the following reaction scheme, percentage yields are given along the arrow:

Reaction

$x$ g and $y$ g are mass of R and U, respectively.

(Use: Molar mass (in g mol$^{-1}$) of H, C and O as 1, 12 and 16, respectively)

Q.5
The value of $x$ is ___.
Correct Answer: 1.62
Q.6
The value of $y$ is ___.
Correct Answer: 3.20

Question Stem for Question Nos. 7 and 8

For the reaction, $\mathbf{X}(s) \rightleftharpoons \mathbf{Y}(s) + \mathbf{Z}(g)$, the plot of $\ln \frac{p_Z}{p^\circ}$ versus $\frac{10^4}{T}$ is given below (in solid line), where $p_Z$ is the pressure (in bar) of the gas $\mathbf{Z}$ at temperature $T$ and $p^\circ = 1$ bar.

Reaction

(Given, $\frac{d(\ln K)}{d(\frac{1}{T})} = -\frac{\Delta H^\circ}{R}$, where the equilibrium constant, $K = \frac{p_Z}{p^\circ}$ and the gas constant, $R = 8.314 \text{ J K}^{-1} \text{ mol}^{-1}$)

Q.7
The value of standard enthalpy, $\Delta H^\circ$ (in kJ mol$^{-1}$) for the given reaction is ___.
Correct Answer: 166.28
Q.8
The value of $\Delta S^\circ$ (in J K$^{-1}$ mol$^{-1}$) for the given reaction, at 1000 K is ___.
Correct Answer: 141.34

Question Stem for Question Nos. 9 and 10

The boiling point of water in a 0.1 molal silver nitrate solution (solution A) is $x^\circ$C. To this solution A, an equal volume of 0.1 molal aqueous barium chloride solution is added to make a new solution B. The difference in the boiling points of water in the two solutions A and B is $y \times 10^{-2} {}^\circ$C.

(Assume: Densities of the solutions A and B are the same as that of water and the soluble salts dissociate completely. Use: Molal elevation constant (Ebullioscopic Constant), $K_b = 0.5 \text{ K kg mol}^{-1}$; Boiling point of pure water as $100^\circ$C.)

Q.9
The value of $x$ is ___.
Correct Answer: 100.10
Q.10
The value of $|y|$ is ___.
Correct Answer: 2.5
Section 3
  • This section contains SIX (06) questions.
  • ONE OR MORE THAN ONE of the options is correct.
  • Full Marks : +4 If only (all) the correct option(s) is(are) chosen.
  • Partial Marks : +3, +2, +1 (See detailed rules in PDF).
  • Negative Marks : -2 In all other cases.
Q.11
Given: Reaction The compound(s), which on reaction with HNO$_3$ will give the product having degree of rotation, $[\alpha]_D = -52.7^\circ$ is(are):
Reaction
Correct Answer: (C), (D)
Q.12
The reaction of $\mathbf{Q}$ with PhSNa yields an organic compound (major product) that gives positive Carius test on treatment with Na$_2$O$_2$ followed by addition of BaCl$_2$. The correct option(s) for $\mathbf{Q}$ is(are):
Reaction
Correct Answer: (A), (D)
Q.13
The correct statement(s) related to colloids is(are)
(A)
The process of precipitating colloidal sol by an electrolyte is called peptization.
(B)
Colloidal solution freezes at higher temperature than the true solution at the same concentration.
(C)
Surfactants form micelle above critical micelle concentration (CMC). CMC depends on temperature.
(D)
Micelles are macromolecular colloids.
Correct Answer: (B), (C)
Q.14
An ideal gas undergoes a reversible isothermal expansion from state I to state II followed by a reversible adiabatic expansion from state II to state III. The correct plot(s) representing the changes from state I to state III is(are)
($p$: pressure, $V$: volume, $T$: temperature, $H$: enthalpy, $S$: entropy)
Reaction
Correct Answer: (A), (B), (D)
Q.15
The correct statement(s) related to the metal extraction processes is(are)
(A)
A mixture of PbS and PbO undergoes self-reduction to produce Pb and SO$_2$.
(B)
In the extraction process of copper from copper pyrites, silica is added to produce copper silicate.
(C)
Partial oxidation of sulphide ore of copper by roasting, followed by self-reduction produces blister copper.
(D)
In cyanide process, zinc powder is utilized to precipitate gold from Na[Au(CN)$_2$].
Correct Answer: (A), (C), (D)
Q.16
A mixture of two salts is used to prepare a solution S, which gives the following results: Reaction The correct option(s) for the salt mixture is(are)
(A)
Pb(NO$_3$)$_2$ and Zn(NO$_3$)$_2$
(B)
Pb(NO$_3$)$_2$ and Bi(NO$_3$)$_3$
(C)
AgNO$_3$ and Bi(NO$_3$)$_3$
(D)
Pb(NO$_3$)$_2$ and Hg(NO$_3$)$_2$
Correct Answer: (A), (B), (C)
Section 4
  • This section contains THREE (03) questions.
  • The answer to each question is a NON-NEGATIVE INTEGER.
  • Full Marks : +4 If ONLY the correct integer is entered.
  • Zero Marks : 0 In all other cases.
Q.17
The maximum number of possible isomers (including stereoisomers) which may be formed on mono-bromination of 1-methylcyclohex-1-ene using Br$_2$ and UV light is ___.
Correct Answer: 13
Q.18
In the reaction given below, the total number of atoms having $sp^2$ hybridization in the major product P is ___. Reaction
Correct Answer: 12
Q.19
The total number of possible isomers for $[\text{Pt}(\text{NH}_3)_4\text{Cl}_2]\text{Br}_2$ is ___.
Correct Answer: 6
Mathematics Chemistry Physics
Section 1 (Maximum Marks: 12)
  • This section contains FOUR (04) questions.
  • Each question has FOUR options (A), (B), (C) and (D). ONLY ONE of these four options is the correct answer.
  • Full Marks : +3 If ONLY the correct option is chosen;
  • Zero Marks : 0 If none of the options is chosen (i.e. the question is unanswered);
  • Negative Marks : −1 In all other cases.
Q.1
Consider a triangle $\Delta$ whose two sides lie on the x-axis and the line $x + y + 1 = 0$. If the orthocenter of $\Delta$ is $(1, 1)$, then the equation of the circle passing through the vertices of the triangle $\Delta$ is
(A)
$x^2 + y^2 - 3x + y = 0$
(B)
$x^2 + y^2 + x + 3y = 0$
(C)
$x^2 + y^2 + 2y - 1 = 0$
(D)
$x^2 + y^2 + x + y = 0$
(B)
Q.2
The area of the region $$ \left\{(x, y) : 0 \le x \le \frac{9}{4}, \quad 0 \le y \le 1, \quad x \ge 3y, \quad x + y \ge 2\right\} $$ is
(A)
$\frac{11}{32}$
(B)
$\frac{35}{96}$
(C)
$\frac{37}{96}$
(D)
$\frac{13}{32}$
(A)
Q.3
Consider three sets $E_1 = \{1, 2, 3\}$, $F_1 = \{1, 3, 4\}$ and $G_1 = \{2, 3, 4, 5\}$. Two elements are chosen at random, without replacement, from the set $E_1$, and let $S_1$ denote the set of these chosen elements. Let $E_2 = E_1 - S_1$ and $F_2 = F_1 \cup S_1$. Now two elements are chosen at random, without replacement, from the set $F_2$ and let $S_2$ denote the set of these chosen elements.

Let $G_2 = G_1 \cup S_2$. Finally, two elements are chosen at random, without replacement, from the set $G_2$ and let $S_3$ denote the set of these chosen elements.
Let $E_3 = E_2 \cup S_3$. Given that $E_1 = E_3$, let $p$ be the conditional probability of the event $S_1 = \{1, 2\}$. Then the value of $p$ is
(A)
$\frac{1}{5}$
(B)
$\frac{3}{5}$
(C)
$\frac{1}{2}$
(D)
$\frac{2}{5}$
(A)
Q.4
Let $\theta_1, \theta_2, \dots, \theta_{10}$ be positive valued angles (in radian) such that $\theta_1 + \theta_2 + \dots + \theta_{10} = 2\pi$. Define the complex numbers $z_1 = e^{i\theta_1}$, $z_k = z_{k-1}e^{i\theta_k}$ for $k = 2, 3, \dots, 10$, where $i = \sqrt{-1}$. Consider the statements $P$ and $Q$ given below:

$P : |z_2 - z_1| + |z_3 - z_2| + \dots + |z_{10} - z_9| + |z_1 - z_{10}| \le 2\pi$

$Q : |z_2^2 - z_1^2| + |z_3^2 - z_2^2| + \dots + |z_{10}^2 - z_9^2| + |z_1^2 - z_{10}^2| \le 4\pi$

Then,
(A)
$P$ is TRUE and $Q$ is FALSE
(B)
$Q$ is TRUE and $P$ is FALSE
(C)
both $P$ and $Q$ are TRUE
(D)
both $P$ and $Q$ are FALSE
(C)
Section 2 (Maximum Marks: 12)
  • This section contains THREE (03) question stems.
  • There are TWO (02) questions corresponding to each question stem.
  • The answer to each question is a NUMERICAL VALUE.
  • If the numerical value has more than two decimal places, truncate/round-off the value to TWO decimal places.
  • Full Marks : +2 If ONLY the correct numerical value is entered;
  • Zero Marks : 0 In all other cases.
Q.5
Question Stem for Question Nos. 5 and 6
Three numbers are chosen at random, one after another with replacement, from the set $S = \{1, 2, 3, \dots, 100\}$. Let $p_1$ be the probability that the maximum of chosen numbers is at least 81 and $p_2$ be the probability that the minimum of chosen numbers is at most 40.

The value of $\frac{625}{4} p_1$ is ___.
76.25
Q.6
Question Stem for Question Nos. 5 and 6
Three numbers are chosen at random, one after another with replacement, from the set $S = \{1, 2, 3, \dots, 100\}$. Let $p_1$ be the probability that the maximum of chosen numbers is at least 81 and $p_2$ be the probability that the minimum of chosen numbers is at most 40.

The value of $\frac{125}{4} p_2$ is ____.
24.5
Q.7
Question Stem for Question Nos. 7 and 8
Let $\alpha, \beta$ and $\gamma$ be real numbers such that the system of linear equations $$ \begin{aligned} x + 2y + 3z &= \alpha \\ 4x + 5y + 6z &= \beta \\ 7x + 8y + 9z &= \gamma - 1 \end{aligned} $$ is consistent. Let $|M|$ represent the determinant of the matrix $$ M = \begin{bmatrix} \alpha & 2 & \gamma \\ \beta & 1 & 0 \\ -1 & 0 & 1 \end{bmatrix} $$ Let $P$ be the plane containing all those $(\alpha, \beta, \gamma)$ for which the above system of linear equations is consistent, and $D$ be the square of the distance of the point $(0, 1, 0)$ from the plane $P$.

The value of $|M|$ is ___.
1
Q.8
Question Stem for Question Nos. 7 and 8
Let $\alpha, \beta$ and $\gamma$ be real numbers such that the system of linear equations $$ \begin{aligned} x + 2y + 3z &= \alpha \\ 4x + 5y + 6z &= \beta \\ 7x + 8y + 9z &= \gamma - 1 \end{aligned} $$ is consistent. Let $|M|$ represent the determinant of the matrix $$ M = \begin{bmatrix} \alpha & 2 & \gamma \\ \beta & 1 & 0 \\ -1 & 0 & 1 \end{bmatrix} $$ Let $P$ be the plane containing all those $(\alpha, \beta, \gamma)$ for which the above system of linear equations is consistent, and $D$ be the square of the distance of the point $(0, 1, 0)$ from the plane $P$.

The value of $D$ is ___.
1.5
Q.9
Question Stem for Question Nos. 9 and 10
Consider the lines $L_1$ and $L_2$ defined by $$ L_1 : x\sqrt{2} + y - 1 = 0 \quad \text{and} \quad L_2 : x\sqrt{2} - y + 1 = 0 $$ For a fixed constant $\lambda$, let $C$ be the locus of a point $P$ such that the product of the distance of $P$ from $L_1$ and the distance of $P$ from $L_2$ is $\lambda^2$. The line $y = 2x + 1$ meets $C$ at two points $R$ and $S$, where the distance between $R$ and $S$ is $\sqrt{270}$.
Let the perpendicular bisector of $RS$ meet $C$ at two distinct points $R'$ and $S'$. Let $D$ be the square of the distance between $R'$ and $S'$.

The value of $\lambda^2$ is ___.
9
Q.10
Question Stem for Question Nos. 9 and 10
Consider the lines $L_1$ and $L_2$ defined by $$ L_1 : x\sqrt{2} + y - 1 = 0 \quad \text{and} \quad L_2 : x\sqrt{2} - y + 1 = 0 $$ For a fixed constant $\lambda$, let $C$ be the locus of a point $P$ such that the product of the distance of $P$ from $L_1$ and the distance of $P$ from $L_2$ is $\lambda^2$. The line $y = 2x + 1$ meets $C$ at two points $R$ and $S$, where the distance between $R$ and $S$ is $\sqrt{270}$.
Let the perpendicular bisector of $RS$ meet $C$ at two distinct points $R'$ and $S'$. Let $D$ be the square of the distance between $R'$ and $S'$.

The value of $D$ is ___.
77.14
Section 3 (Maximum Marks: 24)
  • This section contains SIX (06) questions.
  • Each question has FOUR options (A), (B), (C) and (D). ONE OR MORE THAN ONE of these four option(s) is (are) correct answer(s).
  • Full Marks : +4 If only (all) the correct option(s) is(are) chosen;
  • Partial Marks : +3 If all the four options are correct but ONLY three options are chosen;
  • Partial Marks : +2 If three or more options are correct but ONLY two options are chosen, both of which are correct;
  • Partial Marks : +1 If two or more options are correct but ONLY one option is chosen and it is a correct option;
  • Zero Marks : 0 If unanswered;
  • Negative Marks : −2 In all other cases.
Q.11
For any $3 \times 3$ matrix $M$, let $|M|$ denote the determinant of $M$. Let $$ E = \begin{bmatrix} 1 & 2 & 3 \\ 2 & 3 & 4 \\ 8 & 13 & 18 \end{bmatrix}, \quad P = \begin{bmatrix} 1 & 0 & 0 \\ 0 & 0 & 1 \\ 0 & 1 & 0 \end{bmatrix} \quad \text{and} \quad F = \begin{bmatrix} 1 & 3 & 2 \\ 8 & 18 & 13 \\ 2 & 4 & 3 \end{bmatrix} $$ If $Q$ is a nonsingular matrix of order $3 \times 3$, then which of the following statements is (are) TRUE ?
(A)
$F = PEP$ and $P^2 = \begin{bmatrix} 1 & 0 & 0 \\ 0 & 1 & 0 \\ 0 & 0 & 1 \end{bmatrix}$
(B)
$|EQ + PFQ^{-1}| = |EQ| + |PFQ^{-1}|$
(C)
$|(EF)^3| > |EF|^2$
(D)
Sum of the diagonal entries of $P^{-1}EP + F$ is equal to the sum of diagonal entries of $E + P^{-1}FP$
(A), (B), (D)
Q.12
Let $f : \mathbb{R} \to \mathbb{R}$ be defined by $$ f(x) = \frac{x^2 - 3x - 6}{x^2 + 2x + 4} $$ Then which of the following statements is (are) TRUE ?
(A)
$f$ is decreasing in the interval $(-2, -1)$
(B)
$f$ is increasing in the interval $(1, 2)$
(C)
$f$ is onto
(D)
Range of $f$ is $\left[-\frac{3}{2}, 2\right]$
(A), (B)
Q.13
Let $E, F$ and $G$ be three events having probabilities $P(E) = \frac{1}{8}$, $P(F) = \frac{1}{6}$ and $P(G) = \frac{1}{4}$, and let $P(E \cap F \cap G) = \frac{1}{10}$. For any event $H$, if $H^c$ denotes its complement, then which of the following statements is (are) TRUE ?
(A)
$P(E \cap F \cap G^c) \le \frac{1}{40}$
(B)
$P(E^c \cap F \cap G) \le \frac{1}{15}$
(C)
$P(E \cup F \cup G) \le \frac{13}{24}$
(D)
$P(E^c \cap F^c \cap G^c) \le \frac{5}{12}$
(A), (B), (C)
Q.14
For any $3 \times 3$ matrix $M$, let $|M|$ denote the determinant of $M$. Let $I$ be the $3 \times 3$ identity matrix. Let $E$ and $F$ be two $3 \times 3$ matrices such that $(I - EF)$ is invertible. If $G = (I - EF)^{-1}$, then which of the following statements is (are) TRUE ?
(A)
$|FE| = |I - FE||FGE|$
(B)
$(I - FE)(I + FGE) = I$
(C)
$EFG = GEF$
(D)
$(I - FE)(I - FGE) = I$
(A), (B), (C)
Q.15
For any positive integer $n$, let $S_n : (0, \infty) \to \mathbb{R}$ be defined by $$ S_n(x) = \sum_{k=1}^n \cot^{-1} \left( \frac{1 + k(k + 1)x^2}{x} \right), $$ where for any $x \in \mathbb{R}$, $\cot^{-1}(x) \in (0, \pi)$ and $\tan^{-1}(x) \in \left(-\frac{\pi}{2}, \frac{\pi}{2}\right)$. Then which of the following statements is (are) TRUE ?
(A)
$S_{10}(x) = \frac{\pi}{2} - \tan^{-1}\left(\frac{1+11x^2}{10x}\right)$, for all $x > 0$
(B)
$\lim_{n \to \infty} \cot(S_n(x)) = x$, for all $x > 0$
(C)
The equation $S_3(x) = \frac{\pi}{4}$ has a root in $(0, \infty)$
(D)
$\tan(S_n(x)) \le \frac{1}{2}$, for all $n \ge 1$ and $x > 0$
(A), (B)
Q.16
For any complex number $w = c + id$, let $\arg(w) \in (-\pi, \pi]$, where $i = \sqrt{-1}$. Let $\alpha$ and $\beta$ be real numbers such that for all complex numbers $z = x + iy$ satisfying $\arg \left(\frac{z + \alpha}{z + \beta}\right) = \frac{\pi}{4}$, the ordered pair $(x, y)$ lies on the circle $$ x^2 + y^2 + 5x - 3y + 4 = 0 $$ Then which of the following statements is (are) TRUE ?
(A)
$\alpha = -1$
(B)
$\alpha\beta = 4$
(C)
$\alpha\beta = -4$
(D)
$\beta = 4$
(B), (D)
Section 4 (Maximum Marks: 12)
  • This section contains THREE (03) questions.
  • The answer to each question is a NON-NEGATIVE INTEGER.
  • Full Marks : +4 If ONLY the correct integer is entered;
  • Zero Marks : 0 In all other cases.
Q.17
For $x \in \mathbb{R}$, the number of real roots of the equation $$ 3x^2 - 4|x^2 - 1| + x - 1 = 0 $$ is ___.
4
Q.18
In a triangle $ABC$, let $AB = \sqrt{23}, BC = 3$ and $CA = 4$. Then the value of $$ \frac{\cot A + \cot C}{\cot B} $$ is ___.
2
Q.19
Let $\vec{u}, \vec{v}$ and $\vec{w}$ be vectors in three-dimensional space, where $\vec{u}$ and $\vec{v}$ are unit vectors which are not perpendicular to each other and $$ \vec{u} \cdot \vec{w} = 1, \quad \vec{v} \cdot \vec{w} = 1, \quad \vec{w} \cdot \vec{w} = 4 $$ If the volume of the parallelopiped, whose adjacent sides are represented by the vectors $\vec{u}, \vec{v}$ and $\vec{w}$, is $\sqrt{2}$, then the value of $|3\vec{u} + 5\vec{v}|$ is ___.
7